Skip to main content

AI Summary of Article 133 Requirement to maintain a systemic risk buffer

This Article mandates Member States to establish a systemic risk buffer of Common Equity Tier 1 capital to address macroprudential risks, including those stemming from climate change, which are not covered under existing regulations. Member States must designate a competent authority responsible for the buffer's implementation, ensuring it is applied to relevant institutions and exposures.

The systemic risk buffer must be reviewed biennially and should not disrupt the financial stability of other Member States or the internal market. Authorities are required to notify the ESRB and other relevant bodies before any changes, ensuring transparency and a rationale for the set rates.

Version status: Amended | Document consolidation status: Updated to reflect all known changes
Version date: 29 July 2024 - onwards
Version 7 of 7

Article 133 Requirement to maintain a systemic risk buffer

1. Each Member State shall ensure that it is possible to set a systemic risk buffer of Common Equity Tier 1 capital for the financial sector or one or more subsets of that sector on all or a subset of exposures as referred to in paragraph 5 of this Article, in order to prevent and mitigate macroprudential or systemic risks, including macroprudential or systemic risks arising from climate change, not covered by Regulation (EU) No 575/2013 and by Articles 130 and 131 of this Directive, that is to say a risk of disruption in the financial system with the potential to have serious negative consequences for the financial system and the real economy in a specific Member State.

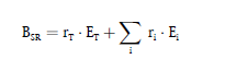
2. Institutions shall calculate the systemic risk buffer as follows:

where:

BSR = the systemic risk buffer;

rT = the buffer rate applicable to the total risk exposure amount of an institution;

ET = the total risk exposure amount of an institution calculated in accordance with Article 92(3) of Regulation (EU) No 575/2013;

i = the index denoting the subset of exposures as referred to in paragraph 5;

ri = the buffer rate applicable to the risk exposure amount of the subset of exposures i; and