AI Summary of Article 340 Duration-based calculation of general risk
This regulatory framework allows institutions to utilise a duration-based methodology for ascertaining the own funds requirement pertaining to general risks associated with debt instruments. Consistency in application is paramount, as institutions are mandated to calculate market values, yields, and subsequently determine the modified durations of fixed and floating-rate debt instruments.
Upon classification of these instruments into specified zones based on their modified durations, institutions must compute both matched and unmatched duration-weighted positions. The ultimate own funds requirement will be derived from a defined formula, incorporating a tiered percentage based on positional classifications within and across zones.
Article 340 Duration-based calculation of general risk
1. Institutions may use an approach for calculating the own funds requirement for the general risk on debt instruments which reflects duration, instead of the approach set out in Article 339, provided that the institution does so on a consistent basis.
2. Under the duration-based approach referred to in paragraph 1, the institution shall take the market value of each fixed-rate debt instrument and hence calculate its yield to maturity, which is implied discount rate for that instrument. In the case of floating-rate instruments, the institution shall take the market value of each instrument and hence calculate its yield on the assumption that the principal is due when the interest rate can next be changed.
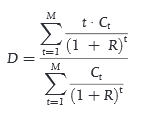
3. The institution shall then calculate the modified duration of each debt instrument on the basis of the following formula:

where:
D = duration calculated according to the following formula:

where:
R = yield to maturity;
Ct = cash payment in time t;
M = total maturity.